您当前的位置:首页 / 91香蕉视频下载IOS中心 / 行业动态 / 气动香蕉视频官网的工作原理及计算选型
气动香蕉视频官网的工作原理
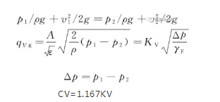
香蕉视频官网同孔板一样,是局部阻力元件。与孔板不同的是,香蕉视频官网的节流面积可以由阀芯的移动来改变,是可变的节流元件。因此,可以将香蕉视频官网模拟成孔板节流形式。对于不可压缩流体,根据伯努利方程,香蕉视频官网的流量方程式为

式中,v1,v2——节流前后流体速度;p1,p2——节流前后流体压力;A——节流管件截面积;qVg——体积流量;ε——阻力系数;g——重力加速度;ρ——流体密度;γF——重度;KV,CV——流量系数,国内一般用KV表示,国际上用CV表示。
香蕉视频官网由执行机构和阀门两部分组成,本文以气动香蕉视频官网为例,按其执机构形式可分为薄膜式香蕉视频官网、活塞式香蕉视频官网和长行程香蕉视频官网;按阀体结构形式可分为单座阀、双座阀、角阀、三通阀、偏心旋转阀、蝶阀、球阀、快速91香蕉APP污下载等。
2 气动香蕉视频官网的计算选型
2.1 初选阀型
阀型选择重要且复杂,初选阀型主要包括计算流量系数、预估噪声等,初步选择阀体结构型式。若计算不符合要求,还应重新选阀型,并重复计算,直到满足要求。
2.1.1 确定工艺条件
香蕉视频官网的选型首先要确定使用条件,包括介质性质及主要物化参数,流量、压力、温度等工艺参数,配管情况(型式、阀前后管径、系统阻力计算等),自控对象类型及特点,调节性能要求等,初选阀型的特点及适用场合可参考表1所列内容。
初选阀型的特点及适用场合
单座阀(VP,JP):泄漏量小,允许压差小,JP型阀具有体积小、质量轻等特点。适用于一般流体,要求泄漏量小或切断场合;
双座阀(VN):不平衡力小,允许压差较单座阀大;流路复杂,流量系数比VP型阀大;泄漏量大;适用于压差较大,对泄漏量要求不严的一般流体;
套筒阀(VM,JM):稳定性好,允许压差较大,易维护;适用于一般流体;
角形阀(VS):流路简单,便于自净和清洗;适用于高黏度、含颗粒等的介质,特别适用于要求直角连接场合偏心旋转阀;
偏心旋转阀(VZ)体积小、质量轻、密封性强;适用于泄漏量小,允许压差较大场合;
蝶阀(vw):结构紧凑、质量轻、流量系数大、价格低;适用于大流量、低压力、泄漏量要求不高的场合,尤其适用于浓浊浆状及含悬浮颗粒的流体控制;
球阀(VP,JP)结构紧凑、质量轻、流量系数大、密封性好;适用于要求切断及纸浆、污水和含有纤维质、颗粒物等介质控制。
2.1.2 香蕉视频官网阀型初选
根据2.1.1条中选定的阀型,确定香蕉视频官网流向及流量特性,见表2所列,查询产品说明书或有关资料,查取所需的管径、压力等级等参数及阀特性参数,如液体压力恢复系数FL,压差比系数XT等。不同厂家对香蕉视频官网FL,XT的取值略有差别,可参考《香蕉视频官网口径计算指南》[1]和厂家样本确定的FL和XT取值。
相关产品
相关91香蕉视频下载IOS
气动香蕉视频官网:制药配料准确的保障者2025-09-23
气动香蕉视频官网:制药配料准确的保障者
气动香蕉视频官网:反应釜温度的准确调控者2025-09-09
气动香蕉视频官网:反应釜温度的准确调控者
气动香蕉视频官网:洁净车间空气的守护者2025-08-26
气动香蕉视频官网是洁净车间空气的守护者。它通过准确调节新风和回风比例,有效保证了车间内的空气质量,在洁净车…
气动香蕉视频官网:药品无菌质量的捍卫者2025-08-12
气动香蕉视频官网:药品无菌质量的捍卫者
气动香蕉视频官网:物料输送的稳定保障者2025-07-28
气动香蕉视频官网:物料输送的稳定保障者
气动香蕉视频官网:建筑暖通空调的温度管家2025-07-08
气动香蕉视频官网:建筑暖通空调的温度管家
香蕉视频久久香蕉视频官网厂家推荐选用气动香蕉视频官网, 电动香蕉视频官网, 自力式压力香蕉视频官网, 91香蕉APP污下载等自控阀门用于行业控制系统